技术文章您现在的位置:首页 > 技术文章 > BroadPharm现货常卖PEG接头选择指南

BroadPharm现货常卖PEG接头选择指南

更新时间:2025-11-05   点击次数:387次

BroadPharm是一个以客户为中心的生物技术公司,总部位于圣地亚哥,BroadPharm致力于为全球客户提供高质量的PEG接头、Click Chemistry试剂、ADC接头、 PROTAC接头、药物递送脂质、核苷、亚磷酰胺和标记试剂。BroadPharm成立于2009年,生产超过2000种分散的,高纯度的聚乙二醇(PEG)试剂,目前这些PEG试剂广泛应用于生物偶联、抗体-药物偶联(ADC)治疗、药物递送和诊断领域。

作为BroadPharm在中国的区域总代理,靶点科技将为中国客户提供全面的BroadPharm产品以及客户订制化服务,欢迎大家随时联系我们。

PEG接头是化学官能化的聚乙二醇(PEG)连接体。PEG连接体由于其水溶性和非免疫原性,在科学界作为偶联、药物发现、纳米颗粒药物递送、化学生物学和生物标记的非常强大的工具特别有吸引力。

PEG有两类,单分散型和多分散型。单分散的PEG连接体具有精确数量的具有特定化学结构和精确分子量的PEG单元。而多分散的PEG(也称为聚合物-PEG或PolyPEG)是具有平均分子量的聚合物。


单分散PEG连接剂的例子

BroadPharm现货常卖PEG接头选择指南

图1所示,叠氮化物-PEG4-NHS酯是一种畅销的单分散聚乙二醇与叠氮化物&NHS偶联物。



作为专业的PEG供应商,BroadPharm拥有超过4,000个高纯度PEG接头库存,用于隔天发货。这些产品涵盖了广泛的功能基团,如叠氮化物,胺,炔,DBCO, TCO, NHS酯,马来酰亚胺。您还可以根据需要选择所需的PEG长度,请查看下面列出的产品。

BroadPharm现货常卖PEG接头选择指南

PEG连接体已广泛应用于药物发现、ADC开发、生物偶联和标记、纳米颗粒药物递送和聚乙二醇化。

PEG接头的应用实例:

1. PEG用于抗体药物偶联物中:

在抗体药物偶联物(Antibody Drug conjugates, ADC)中,抗体和偶联物之间的Linker会显著影响抗体-药物偶联物的效价、稳定性、选择性和DMPK。例如,ADC药物Zynlonta结合了几种有趣的连接物成分,包括马来酰亚胺PEG8和酶切可切割的连接物(Val-Ala),将有效载荷连接到抗体上(图2)。

BroadPharm现货常卖PEG接头选择指南

图2. 如上所示,Zynlonta在抗体和有效载荷SG319 PBD二聚体之间有马来酰亚胺-PEG8接头。










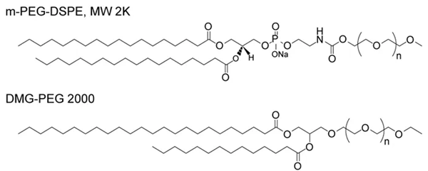
2. PEG在纳米颗粒给药中的应用:

随着Moderna和辉瑞公司疫苗的开发,脂质纳米颗粒给药已经广为人知(图3)。通常,脂质纳米颗粒给药系统由高温磷脂、PEG脂质和可电离阳离子磷脂组成。一个具体的例子是DSPE-mPEG 2000,它对辉瑞生产疫苗至关重要。另一种聚乙二醇化脂质是DMG-PEG 2000,它用于Moderna的。

BroadPharm现货常卖PEG接头选择指南

图3. 用于疫苗的脂质,上面是辉瑞用的DSPE-PEG 2000,下面是Moderna用的DMG-PEG 2000。











3. PEG在小分子药物中的应用:

将PEG连接剂引入小分子药物中,可以提高药物的溶解度和分子量。这可以延长药物在体内的半衰期。Asclera (Polidocanol)是一个小分子药物的例子,它含有m-PEG9实体,可以作为局部麻醉剂用于局部软膏形式或注射治疗静脉曲张(图4)。

BroadPharm现货常卖PEG接头选择指南

图4. 由十二醇乙氧基化形成的Asclera已由Chemische Fabrik Kreussler申请,用于治疗静脉曲张。


BroadPharm热销的PEG接头

货号

产品名称

结构式

分子量

纯度

BP-20589

Amino-PEG4-alcohol

BroadPharm现货常卖PEG接头选择指南

193.2

98%

BP-20659

Amino-PEG6-alcohol

BroadPharm现货常卖PEG接头选择指南

281.4

98%

BP-21502

Amino-PEG8-alcohol

BroadPharm现货常卖PEG接头选择指南

369.5

98%

BP-21503

Amino-PEG12-alcohol

BroadPharm现货常卖PEG接头选择指南

545.7

98%

BP-21113

Amino-PEG8-acid

BroadPharm现货常卖PEG接头选择指南

441.5

97%

BP-21114

Amino-PEG12-acid

BroadPharm现货常卖PEG接头选择指南

617.7

98%

BP-21910

Amino-PEG24-acid

BroadPharm现货常卖PEG接头选择指南

1146.4

97%

BP-21684

Amino-PEG4-amine

BroadPharm现货常卖PEG接头选择指南

236.3

98%

BP-22251

Amino-PEG8-amine

BroadPharm现货常卖PEG接头选择指南

412.5

98%

BP-21094

Propargyl-PEG4-acid

BroadPharm现货常卖PEG接头选择指南

260.3

98%

BP-22822

Propargyl-PEG10-acid

BroadPharm现货常卖PEG接头选择指南

524.6

98%

BP-20517

Azido-PEG4-acid

BroadPharm现货常卖PEG接头选择指南


291.3

98%

BP-20612

Azido-PEG6-acid

BroadPharm现货常卖PEG接头选择指南

379.4

98%

BP-21825

Azido-PEG9-acid

BroadPharm现货常卖PEG接头选择指南

511.6

98%

BP-20518

Azido-PEG4-NHS ester

BroadPharm现货常卖PEG接头选择指南


388.4

98%

BP-21606

Azido-PEG8-NHS ester

BroadPharm现货常卖PEG接头选择指南

564.6

98%

BP-20522

Azido-PEG2-acid

BroadPharm现货常卖PEG接头选择指南


203.2

98%

BP-20602

Azido-PEG6-alcohol

BroadPharm现货常卖PEG接头选择指南

307.3

98%

BP-22224

Azido-PEG6-amine

BroadPharm现货常卖PEG接头选择指南

350.4

98%

BP-21115

m-PEG8-azide

BroadPharm现货常卖PEG接头选择指南

409.5

98%

BP-22420

TCO-PEG4-acid


BroadPharm现货常卖PEG接头选择指南

417.5

95%

BP-22418

TCO-PEG4-NHS ester

BroadPharm现货常卖PEG接头选择指南

514.6

95%

BP-24099

TCO-PEG3-amine

BroadPharm现货常卖PEG接头选择指南

344.5

95%

BP-24081

endo-BCN-PEG2-NHS ester

BroadPharm现货常卖PEG接头选择指南

450.5

97%

BP-24017

DBCO-PEG8-acid

BroadPharm现货常卖PEG接头选择指南

728.8

98%

BP-21634

Fmoc-PEG8-NHS ester

BroadPharm现货常卖PEG接头选择指南


760.8

98%

BP-23868

N-(acid-PEG3)-N-bis(PEG3-amine)

BroadPharm现货常卖PEG接头选择指南

571.7

97%




靶点科技(北京)有限公司

靶点科技(北京)有限公司

地址:中关村生命科学园北清创意园2-4楼2层

© 2026 版权所有:靶点科技(北京)有限公司  备案号:京ICP备18027329号-2  总访问量:408338  站点地图  技术支持:化工仪器网  管理登陆